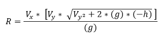
Dynamic Stream: Fun with Kinematics!